-
[옥동수학학원] 2018년10월 나형 30번 킬러문항 [더플러스수학학원]수능 모의고사 2019. 9. 10. 16:52
울산 옥동수학학원 더플러스수학학원에서 2018년 10월 교육청모의고사 나형 30번 킬러문항에 대한 풀이를 해 봤습니다. 평면 위의 점에서 3차함수에 그은 접선의 갯수에 대한 다음의 링크를 먼저 참조하면 좀 더 쉽게 접근할 수 있습니다.
2021.08.10 - [수학과 공부이야기] - [더플러스수학] 3차함수의 접선의 갯수
다음에 문제와 풀이영상이 있습니다.
https://youtu.be/_jb9KvBbMSc(구독과 좋아요를..)
최고차항의 계수가 $ 1 $인 삼차함수 $\displaystyle f \left ( x \right ) $와 실수 $ t $가 다음 조건을 만족시킨다.
등식 $\displaystyle f \left ( a \right ) $$ +1=f ' \left ( a \right ) \left ( a-t \right ) $를 만족시키는 실수 $\displaystyle a $의 값이 $\displaystyle 6 $ 하나뿐이기 위한 필요충분조건은 $\displaystyle -2<t<k $ 이다. $\displaystyle f \left ( 8 \right ) $의 값을 구하시오. (단, $ k $는 $ -2 $보다 큰 상수이다.) [4점]
[정답] 39
[출제의도] 다항함수의 미분을 활용하여 조건을 만족시키는 함숫값을 구하는 문제를 해결한다.
등식 $ f \left ( a \right ) +1=f ' ( a) \left ( a-t \right ) $ …… ㉠
에서 $ -1=f ' \left ( a \right ) \left ( t-a \right ) +f \left ( a \right ) $이다.
이는 곡선 $ y=f \left ( x \right ) $ 위의 점 $ \left ( a,f \left ( a \right ) \right ) $에서의 접선 $ y=f ' \left ( a \right ) \left ( x-a \right ) +f \left ( a \right ) $가 점 $ \rm P $$ \left ( t,~-1 \right ) $을 지남을 뜻한다.
즉 $ \rm P $$ \left ( t,~-1 \right ) $에서 곡선 $ y=f ( x) $에 그은 접선의 접점이 $ \left ( a,~f \left ( a \right ) \right ) $이다.
조건에서 등식 ㉠을 만족시키는 실수 $ a $의 값이 $ 6 $ 하나뿐이므로
$ f ( 6)+1=f ' ( 6) ( 6-t) $ …… ㉡
$ -2<t<k $인 모든 실수 $ t $에 대하여 ㉡이 성립하므로
$ f ' ( 6)=0 $, $ f ( 6)= -1 $
즉 함수 $ y=f ( x) $의 그래프는 점 $ \mathrm A \left ( 6,~-1 \right ) $에서 직선 $ y= -1 $에 접하므로
$ f ( x)= \left ( x-6 \right ) ^ {2} ( x-m)-1 $($ m $은 상수) …… ㉢
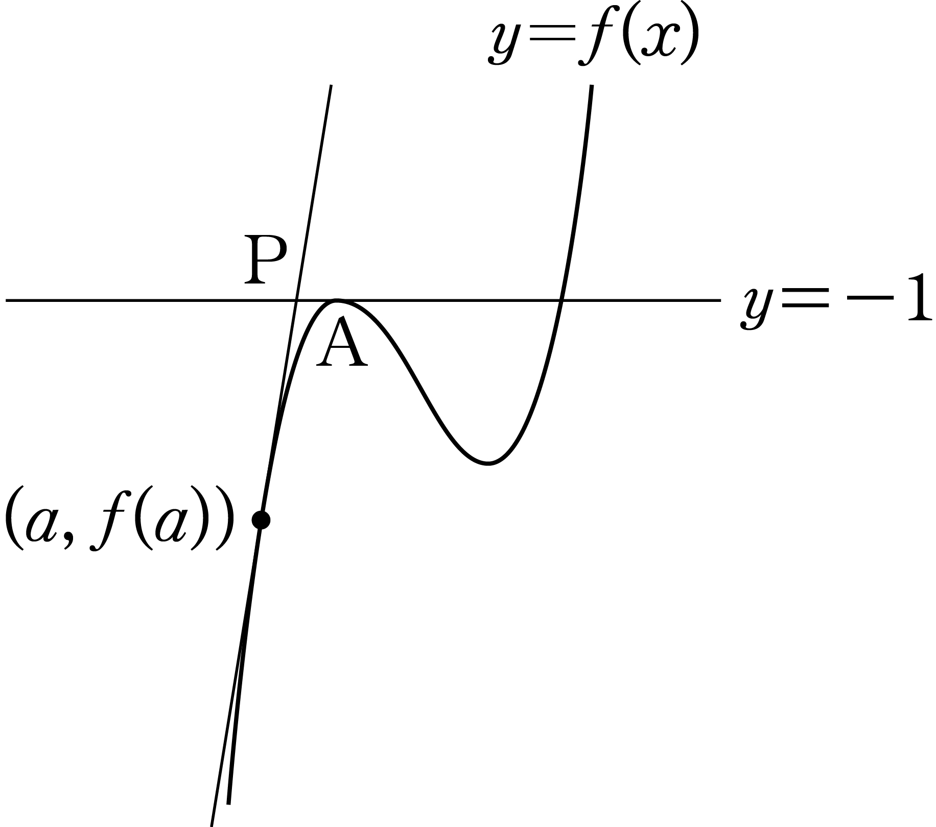
따라서 두 점 $ \rm P$ $ \left ( t,~-1 \right ) $, $ \mathrm A$ $t \left ( 6,~-1 \right ) $에 대하여 ㉢을 만족시키는 삼차함수 $ y=f ( x) $의 그래프는 다음과 같이 $ 3 $가지이다.

그림1 $m=6$ 일 때 
그림2 $m>6$일 때 
그림3 $\displaystyle m<6$ 일 때 [그림1], [그림2]에서는 $ 6 $보다 작은 모든 실수 $ t $에 대하여 등식 ㉠을 만족시키는 $ 6 $이 아닌 실수 $ a $가 존재하므로 조건을 만족시키지 않는다.
[그림3]에서 $ k> -2 $인 상수 $ k $에 대하여 등식 ㉠을 만족시키는 실수 $ a $의 값이 $ 6 $ 하나뿐이기 위한 필요충분조건이 $ -2<t<k $이려면 함수 $ y=f ( x) $의 그래프가 점 $ \left ( -2,~-1 \right ) $을 지나야 한다. 즉, $ m= -2 $
$ f \left ( x \right ) = \left ( x-6 \right ) ^ {2} \left ( x+2 \right ) -1 $이므로
$ f ( 8)= \left ( 8-6 \right ) ^ {2} \left ( 8+2 \right ) -1 =39 $
[참고]
$ f ( x)= ( x-6) ^ {2} ( x-m)-1 $에서
$ f ' ( x)=2 ( x-6) ( x-m)+ ( x-6) ^ {2} = ( x-6) ( 3x-2m-6) $
이므로 등식 $ f ( a)+1=f ' ( a) ( a-t) $에서
$ ( a-6) ^ {2} ( a-m)= ( a-6) ( 3a-2m-6) ( a-t) $
$ ( a-6) \left\{ 2a ^ {2} - ( 3t+m)a+2mt+6t-6m \right\} =0 $
$ a=6 $ 또는 $ 2a ^ {2} - ( 3t+m)a+2mt+6t-6m=0 $ …… ㉠
이 등식을 만족시키는 실수 $ a $의 값이 $ 6 $ 하나뿐이려면 $ a $에 대한 이차방정식 ㉠이 중근 $ 6 $을 가지거나 실근을 갖지 않아야 한다.
(ⅰ) ㉠이 중근 $ 6 $을 가지는 경우$ 2a ^ {2} - ( 3t+m)a+2mt+6t-6m=2 \left ( a-6 \right ) ^ {2} $에서 $ t=6 $, $ m=6 $따라서 조건을 만족시키는 실수 $ t $는 $ 6 $ 하나뿐이므로 $ -2<t<k $라는 조건을 만족시키지 않는다.
(ⅱ) ㉠이 실근을 갖지 않는 경우㉠의 판별식을 $ D $라 하면
$ D = ( 3t+m) ^ {2} -8 ( 2mt+6t-6m) $$ = ( t-m) ( 9t-m-48)<0 $ …… ㉡
① $ m< \frac {m+48} {9} $, 즉 $ m<6 $이면 부등식 ㉡의 해는 $ m<t< \frac {m+48} {9} $이때 실수 $ t $의 범위가 $ -2<t<k $이어야 하므로$ m= \it -2 $, $ k= \frac {46} {9} $② $ m> \frac {m+48} {9} $, 즉 $ m>6 $이면 부등식 ㉡의 해는 $ \frac {m+48} {9} <t<m $ 이때 $ \frac {m+48} {9} >6 $이므로 조건을 만족시키지 않는다.
위의 (ⅰ), (ⅱ)에서 $ m= -2 $, $ k= \frac {46} {9} $이므로
$ f ( x)= ( x-6) ^ {2} ( x+2)-1 $
울산 옥동에 있는 울산과고전문 더플러스수학학원
'수능 모의고사' 카테고리의 다른 글
[2019학년도 모평 나형] 2019학년도 나형 6월 21번 (0) 2019.09.11 [사관학교 기출] 2018학년도 나형 21번 (0) 2019.09.11 [2020 모평 나형 9월21번] 2020학년도 평가원 나형 9월 21번 킬러문항 (0) 2019.09.08 [2020학년도 나형 모평 9월 16번] 2020학년도 평가원 나형 9월 16번 (0) 2019.09.08 [2020학년도 9월 평가원] 2020학년도 9월 가형 19번풀이 (0) 2019.09.05